El ministerio de Salud informó que se hacen más de 1.000 testeos diarios de COVID-19 en territorio bonaerense
Los datos los dio a conocer el viceministro de Salud bonaerense, Nicolás Kreplak, en sus redes sociales. Los números indican que en abril los testeos con PC, eran de 688 por día, con un promedio de 44 casos confirmados diarios. En mayo, los testeos fueron 842, con un promedio de 64 casos confirmados diarios; mientras que en esta última semana de mayo se realizaron unos 966 testeos diarios, con 82 contagios diarios confirmados.
El viceministro de Salud bonaerense, Nicolás Kreplak, aseguró este martes que la Provincia realiza casi un millar diarios de testeos con PCR para diagnosticar el coronavirus.
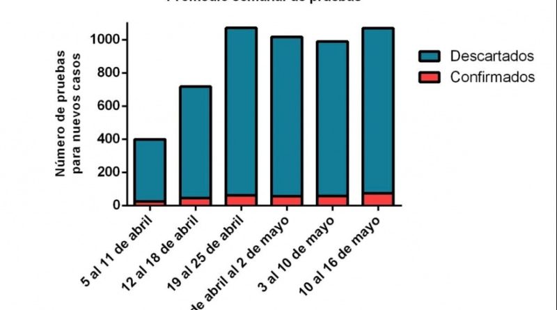
Kreplak detalló en su cuenta oficial de Twitter, que «la capacidad diagnóstica de la provincia de Buenos Aires es de 1.600 test diarios, que equivalen a 966 estudios con 82 casos positivos. El viceministro de Salud argumentó sus datos a partir de la publicación de un gráfico, que refleja el incremento de testeos realizados dentro del territorio provincial desde el inicio de la cuarentena en el país.
En abril los testeos con PCR, que es el tipo de prueba más confiable ya que rastrea fragmentos genéticos del virus, eran de 688 por día, con un promedio de 44 casos confirmados diarios.
En mayo, los testeos fueron 842, con un promedio de 64 casos confirmados diarios; mientras que en esta última semana de mayo se realizaron unos 966 testeos diarios, con 82 contagios diarios confirmados, es decir un 8,5% de positividad.
Sin embargo y teniendo en cuenta que el territorio bonaerense es uno de los más afectados por el virus, el Gobierno provincial dispondrá de los nuevos kits de detección desarrollados en el país.
Según detalló la cartera sanitaria, la Provincia recibirá 5 mil tests serológicos producidos por el Laboratorio del Instituto Leloir. Esta donación permitirá medir los anticuerpos desarrollados por la persona que se someta al análisis, es decir, conocer si estuvo en contacto con el virus y si ha desarrollado alguna especia de inmunidad al virus.
Además, el ministerio recibirá también el nuevo kit de diagnóstico rápido de tipo PCR, que ya fue aprobado por la Anmat, y fue desarrollado por el Conicet, la Agencia Nacional de Promoción de la Investigación, el Desarrollo Tecnológico y la Innovación y científicos y científicas del Instituto de Ciencia y Tecnología Dr. César Milstein. (InfoGEI) Mg
